Open Access

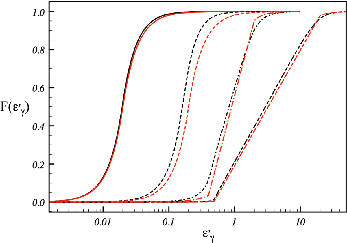
Fig. B1.

image

Cumulative probability distribution for selecting scattered photon energy, for different values of ϵr = γ(1+β)ϵmin, with ϵr = 0.02 (solid lines), 0.2 (dashed lines), 2 (dot-dashed lines), and 20 (long-short dashed lines). The black curves delineate the exact distribution, and the red curves the analytic approximation, Eqs. (B.9) and (B.10).

Current usage metrics show cumulative count of Article Views (full-text article views including HTML views, PDF and ePub downloads, according to the available data) and Abstracts Views on Vision4Press platform.

Data correspond to usage on the plateform after 2015. The current usage metrics is available 48-96 hours after online publication and is updated daily on week days.

Initial download of the metrics may take a while.