Gaia Data Release 2
Free Access

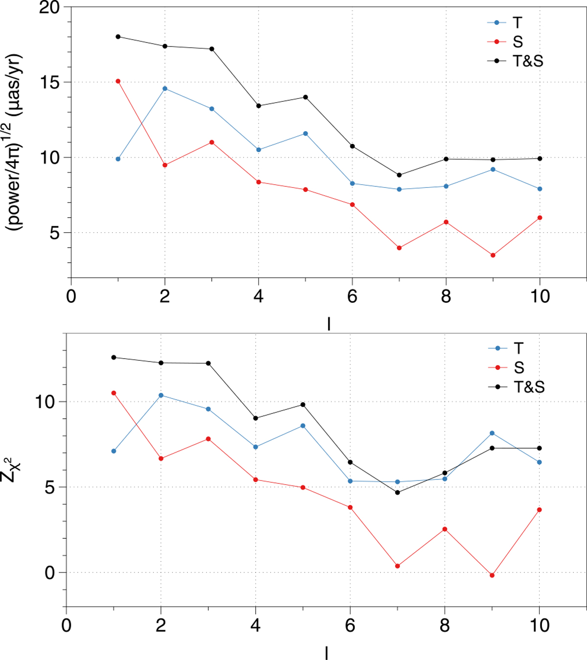
Fig. 12

image

Distributions of the RMS values (top) and their statistical levels of significance (bottom) in the VSH decomposition of the proper motion vector field of the Gaia-CRF2 from l = 1 to 10. S and T refer to the spheroidal and toroidal harmonics, and T&S signifies their quadratic combination.

Current usage metrics show cumulative count of Article Views (full-text article views including HTML views, PDF and ePub downloads, according to the available data) and Abstracts Views on Vision4Press platform.

Data correspond to usage on the plateform after 2015. The current usage metrics is available 48-96 hours after online publication and is updated daily on week days.

Initial download of the metrics may take a while.