Free Access

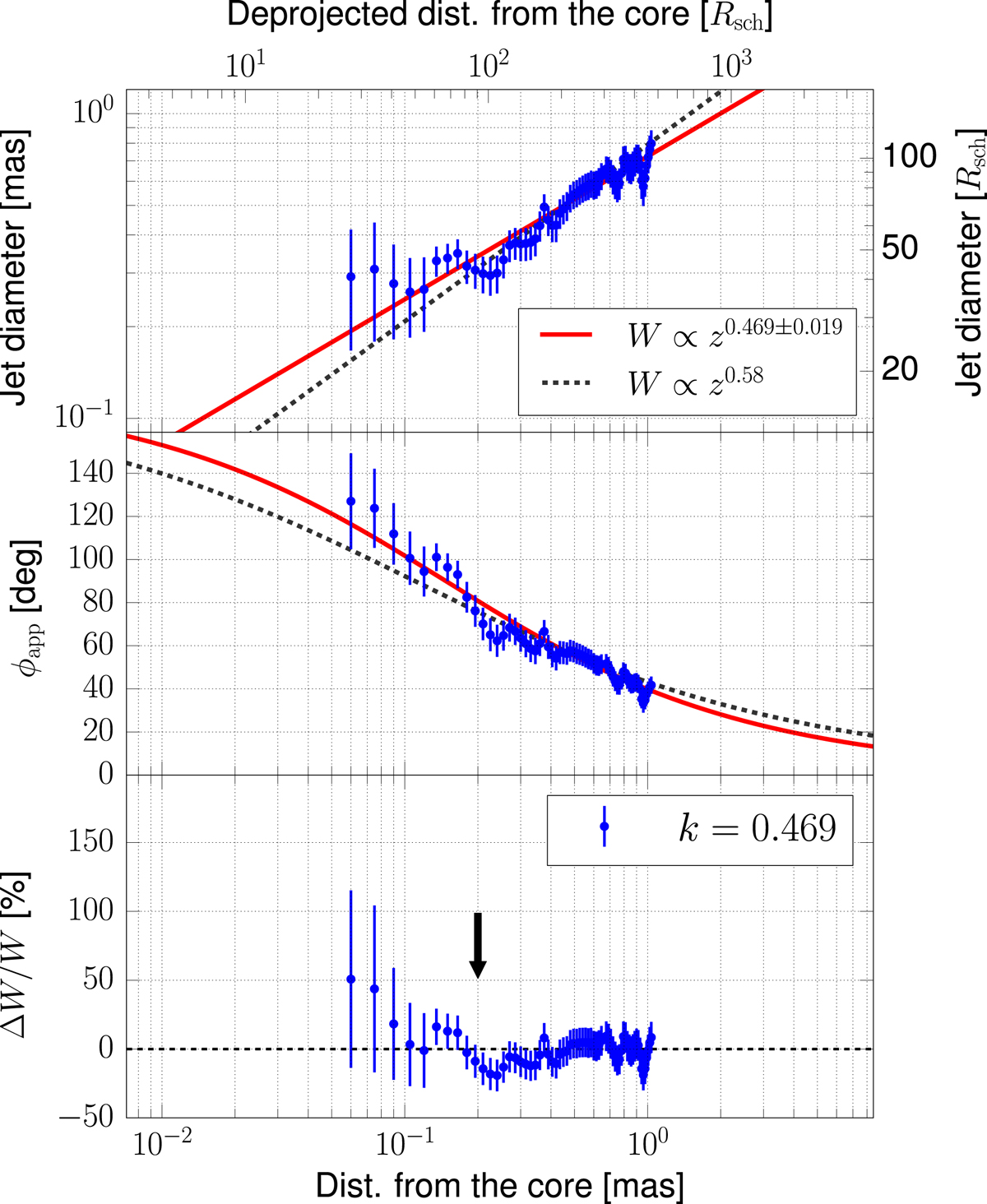
Fig. 6.

image

M 87 jet base collimation profile plotted vs. the core separation d. Top: jet width and power-law fit. The blue data points are the measurements, the red solid line is the best power-law fit to the data, and the gray broken line is a fit with a fixed slope of k = 0.58. Middle: same as above, but for the apparent opening angle. Bottom: fractional difference between the observed diameter and the power-law model with a corresponding slope, k ≈ 0.47. The arrow indicates a core distance where the fractional difference starts to grow significantly.

Current usage metrics show cumulative count of Article Views (full-text article views including HTML views, PDF and ePub downloads, according to the available data) and Abstracts Views on Vision4Press platform.

Data correspond to usage on the plateform after 2015. The current usage metrics is available 48-96 hours after online publication and is updated daily on week days.

Initial download of the metrics may take a while.