Free Access

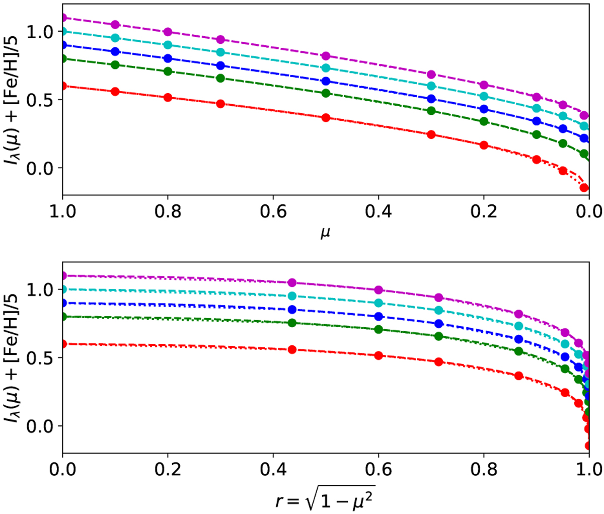
Fig. 2

image

Comparison of directly calculated (points) and interpolated (dotted lines) limb-darkening profiles for the CHEOPS bandpass at Teff ≈ 5777 K, log g = 4.44 and for [Fe/H] = −2, −1, −0.5, 0, +0.5. The corresponding power-2 limb-darkening laws optimized to fit the light curve for a typical Jupiter-like transiting exoplanet are also shown (dotted lines). Note that the profiles are offset vertically according to [Fe/H]. The lower panel is plotted as a function of the distancefrom the centre of the stellar disc in units of the stellar radius.

Current usage metrics show cumulative count of Article Views (full-text article views including HTML views, PDF and ePub downloads, according to the available data) and Abstracts Views on Vision4Press platform.

Data correspond to usage on the plateform after 2015. The current usage metrics is available 48-96 hours after online publication and is updated daily on week days.

Initial download of the metrics may take a while.