Free Access

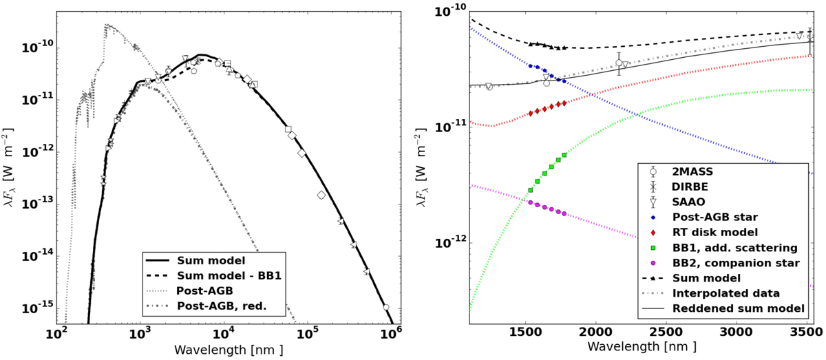
Fig. 4

image

Comparison of the best-fit model photometry to the SED. Left panel: SED of IRAS08544-4431. The gray dotted and dash-dotted lines represent the primary’s original and reddened photospheric spectrum, respectively. Right panel: a zoom-in on the near-infrared wavelengths.

Current usage metrics show cumulative count of Article Views (full-text article views including HTML views, PDF and ePub downloads, according to the available data) and Abstracts Views on Vision4Press platform.

Data correspond to usage on the plateform after 2015. The current usage metrics is available 48-96 hours after online publication and is updated daily on week days.

Initial download of the metrics may take a while.