Free Access

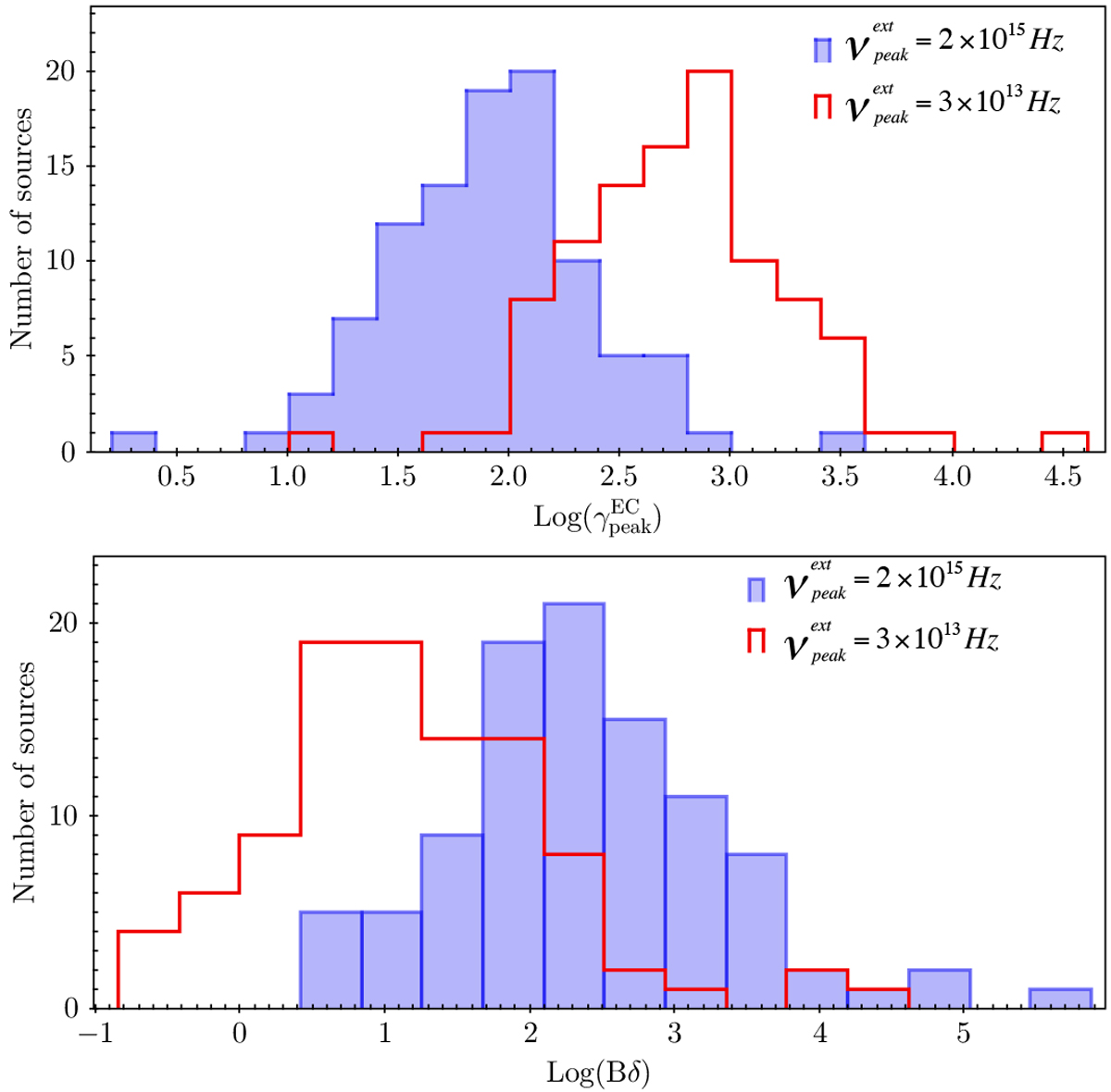
Fig. 3

image

Top panel: distribution of for the radio-Planck sample based on Eq. (4) when assuming Γ = 20, and for two different external photon fields: dust torus photons peaking at IR (in red); near-UV photons from the BLR region, peaking close to Lyα, (full indigo bars). Bottom panel: corresponding distribution of log(Bδ) calculated from Eq. (3) for , and considering and from Table A.1.

Current usage metrics show cumulative count of Article Views (full-text article views including HTML views, PDF and ePub downloads, according to the available data) and Abstracts Views on Vision4Press platform.

Data correspond to usage on the plateform after 2015. The current usage metrics is available 48-96 hours after online publication and is updated daily on week days.

Initial download of the metrics may take a while.