Free Access

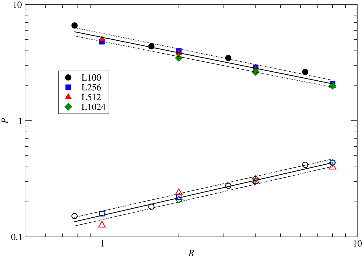
Fig. 3.

image

Percolation threshold of clusters and voids, PC and PV, of models L100, L256, L512, L1024 for various smoothing lengths RB. Filled symbols are for clusters, open symbols for voids. Linear fits according to Eq. (3) are shown by solid lines, 95% confidence limits by dashed lines.

Current usage metrics show cumulative count of Article Views (full-text article views including HTML views, PDF and ePub downloads, according to the available data) and Abstracts Views on Vision4Press platform.

Data correspond to usage on the plateform after 2015. The current usage metrics is available 48-96 hours after online publication and is updated daily on week days.

Initial download of the metrics may take a while.