Highlight
Free Access

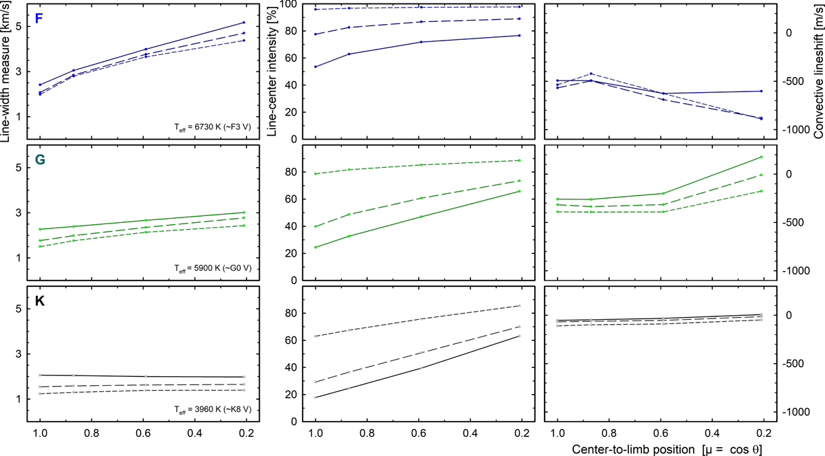
Fig. 11.

image

Center-to-limb changes of overall parameters for differently strong lines computed from the various CO 5BOLD models representing stars of spectral types F, G, and K. Properties of strong lines are shown by solid curves, of intermediate lines by long-dashed, and of weak lines by short-dashed curves. Line-width measures, line-center intensities, and convective line shifts are from symmetric Gaussian fits to the full synthetic profiles and therefore do not resolve any line asymmetries. Convective line shifts are in absolute units but gravitational redshifts are neglected.

Current usage metrics show cumulative count of Article Views (full-text article views including HTML views, PDF and ePub downloads, according to the available data) and Abstracts Views on Vision4Press platform.

Data correspond to usage on the plateform after 2015. The current usage metrics is available 48-96 hours after online publication and is updated daily on week days.

Initial download of the metrics may take a while.