Free Access

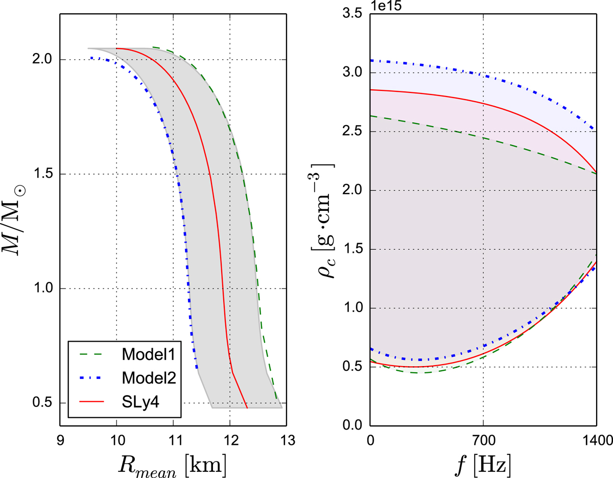
Fig. 1.

image

Right panel: Range of central densities ρc for stars rotating with the frequency f up to 1400 Hz. Left panel: Non-rotating configurations for the SLy4 EOS (red), Model1 EOS (green), and Model2 EOS (blue), following the ΔR = ±5% uncertainty in the radius measurement (grey region).

Current usage metrics show cumulative count of Article Views (full-text article views including HTML views, PDF and ePub downloads, according to the available data) and Abstracts Views on Vision4Press platform.

Data correspond to usage on the plateform after 2015. The current usage metrics is available 48-96 hours after online publication and is updated daily on week days.

Initial download of the metrics may take a while.