Free Access

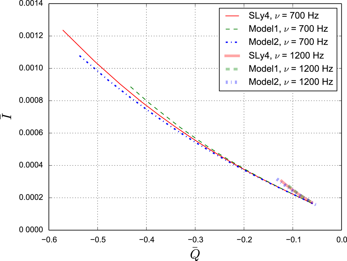
Fig. 11.

image

Normalized moment of inertia vs. normalized quadrupole moment for the SLy4 model (solid red line), Model1 (dashed green line), and Model2 (dash-dotted blue line) for 700 Hz and 1200 Hz spin frequencies.

Current usage metrics show cumulative count of Article Views (full-text article views including HTML views, PDF and ePub downloads, according to the available data) and Abstracts Views on Vision4Press platform.

Data correspond to usage on the plateform after 2015. The current usage metrics is available 48-96 hours after online publication and is updated daily on week days.

Initial download of the metrics may take a while.