Free Access

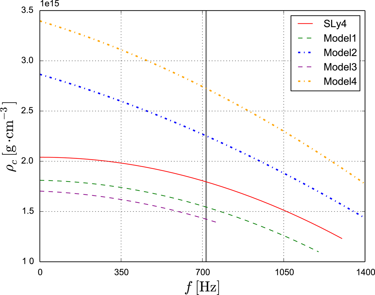
Fig. 12.

image

Central density ρc vs, rotational frequency for the SLy4 EOS (red), Model1 EOS (green), Model2 EOS (blue), Model3 EOS (purple), and Model4 EOS (orange), for 2 M.

Current usage metrics show cumulative count of Article Views (full-text article views including HTML views, PDF and ePub downloads, according to the available data) and Abstracts Views on Vision4Press platform.

Data correspond to usage on the plateform after 2015. The current usage metrics is available 48-96 hours after online publication and is updated daily on week days.

Initial download of the metrics may take a while.