Free Access

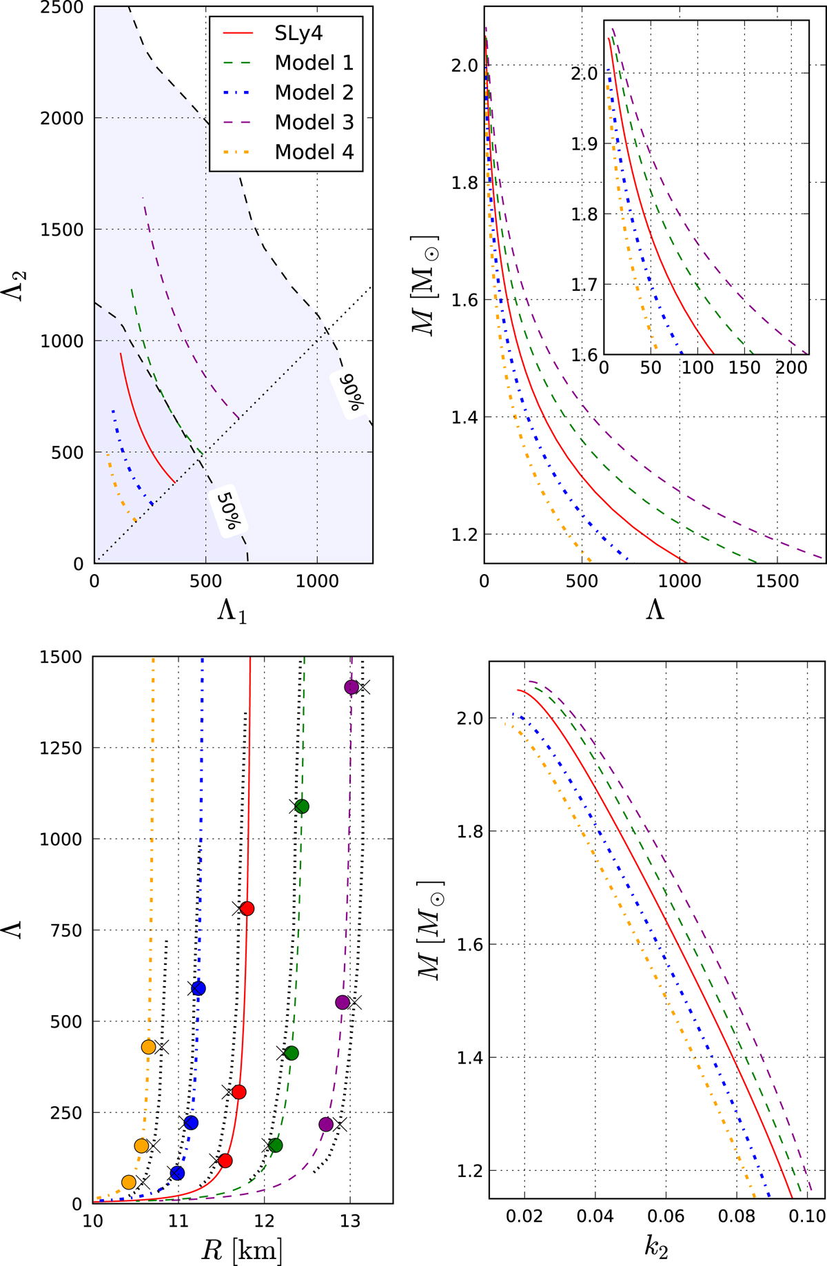
Fig. 13.

image

Upper row, left panel: Comparison of tidal deformabilities Λ for stellar component masses compatible with the GW170817 observation (assuming low-spin priors; Abbott et al. 2017a). The shaded area denotes the estimated 90% confidence region corresponding to the measurement. Right panel: Stellar mass as a function of tidal deformability Λ, for the mass range between 1.15 M and the Mmax. Lower row, left panel: Tidal deformability Λ as a function of stellar radius; points denote 1.2, 1.4, and 1.6 M (from upper to lower). Approximate formula denoted in the text is represented by black dotted curves. Right panel: Mass as a function of the k2 tidal Love number.

Current usage metrics show cumulative count of Article Views (full-text article views including HTML views, PDF and ePub downloads, according to the available data) and Abstracts Views on Vision4Press platform.

Data correspond to usage on the plateform after 2015. The current usage metrics is available 48-96 hours after online publication and is updated daily on week days.

Initial download of the metrics may take a while.