Free Access

Fig. 2.

image

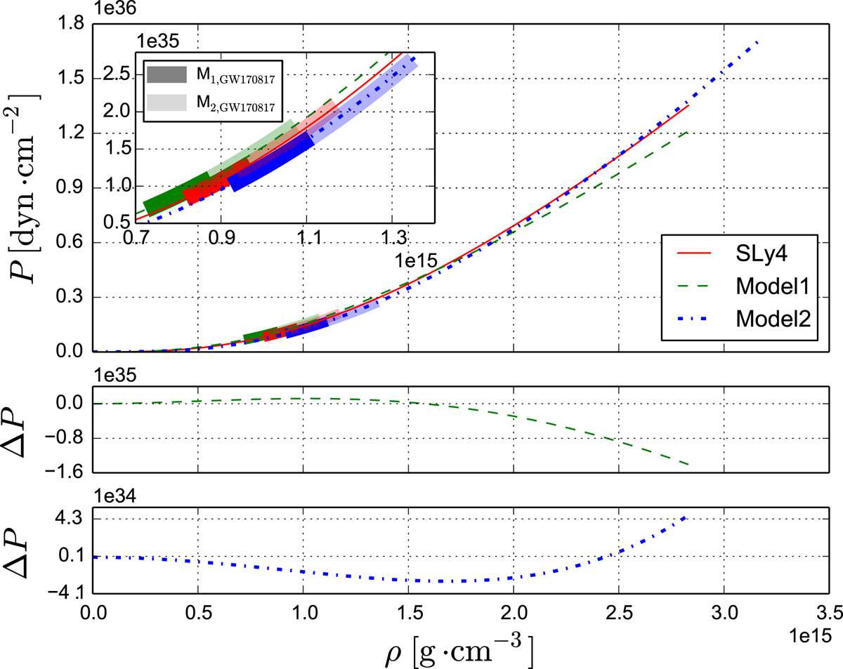
Upper panel: P(ρ) profiles corresponding to the M(R) relations from the left panel of Fig. 1, with the SLy4 model denoted by a red solid line, Model1 by a green dashed line, and Model2 by a blue dash-dotted line. Thick semi-transparent lines denote P(ρ) ranges for the two components of the GW170817 binary neutron star system (Abbott et al. 2017a, with mass estimates using the low-spin priors). We also plot the pressure difference between the SLy4 model and Model1 (dashed green line, middle panel) and Model2 (dash-dotted blue line, lower panel).

Current usage metrics show cumulative count of Article Views (full-text article views including HTML views, PDF and ePub downloads, according to the available data) and Abstracts Views on Vision4Press platform.

Data correspond to usage on the plateform after 2015. The current usage metrics is available 48-96 hours after online publication and is updated daily on week days.

Initial download of the metrics may take a while.