Free Access

Fig. 4.

image

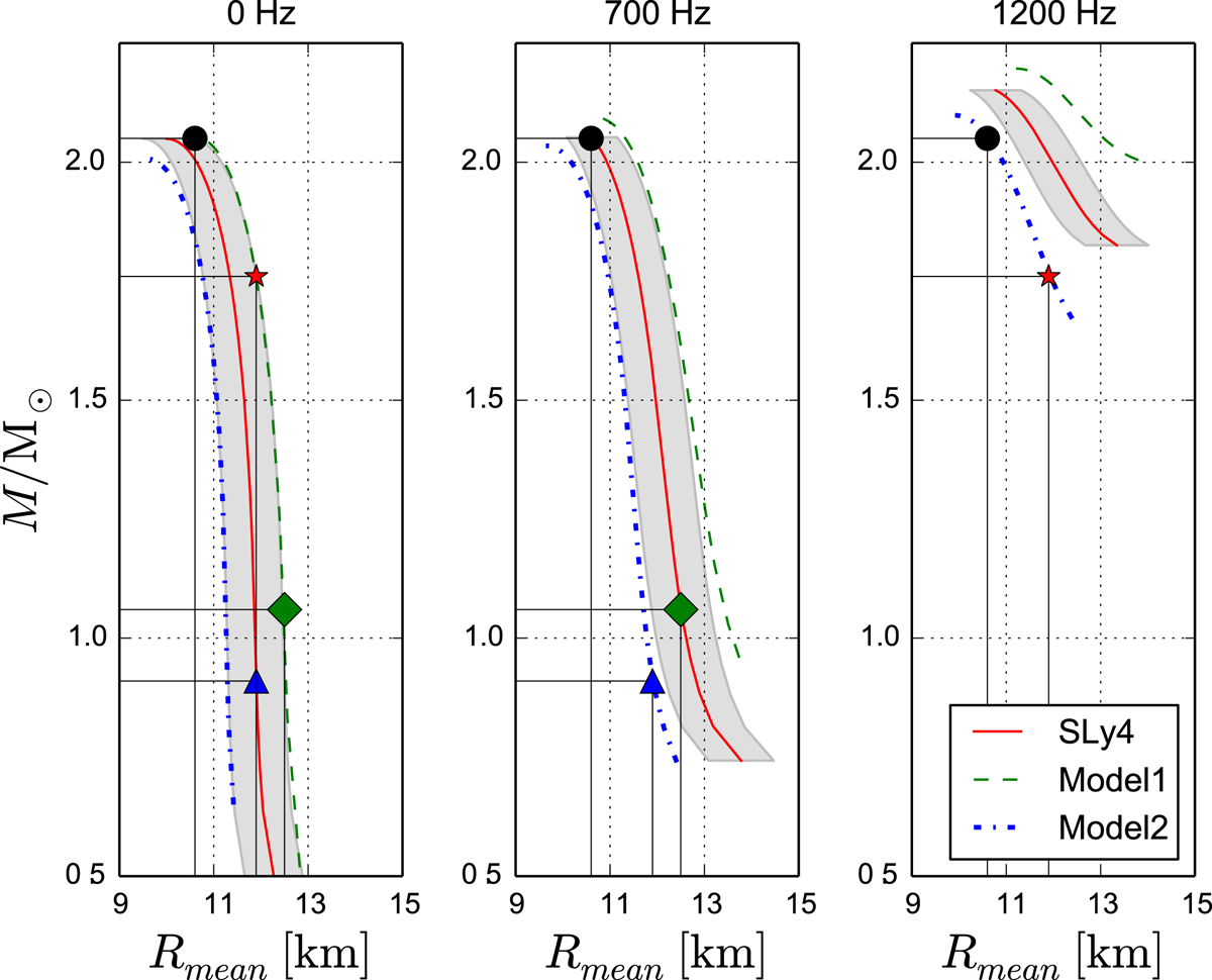
Stable mass-radius relations for three models: SLy4 model (red solid line), Model1 (green dashed line), Model2 (blue dash-dotted line), and three spin frequencies: 0 Hz (left panel), 700 Hz (middle panel), and 1200 Hz (right panel). Shaded regions correspond to ΔR = ±5% of radii measurements for the non-rotating SLy4 model. We note that some lines of stable configurations with different EOS and f , but similar masses and radii can cross each other. Such cases are denoted by markers: black dots correspond to Rmean ≈ 10.6 km and M ≈ 2.05 M, red stars to Rmean ≈ 11.9 km and M ≈ 1.76 M, green diamonds to Rmean ≈ 12.5 km and M ≈ 1.06 M, and blue triangles to Rmean ≈ 11.9 km and M ≈ 0.91 M. Models with a fixed mass and radius may thus belong to configurations with different EOS, depending on the value of the spin. This adds additional ambiguity to the determination of the EOS from mass and radius measurements, if the rotation rate of the star is not known.

Current usage metrics show cumulative count of Article Views (full-text article views including HTML views, PDF and ePub downloads, according to the available data) and Abstracts Views on Vision4Press platform.

Data correspond to usage on the plateform after 2015. The current usage metrics is available 48-96 hours after online publication and is updated daily on week days.

Initial download of the metrics may take a while.