Free Access

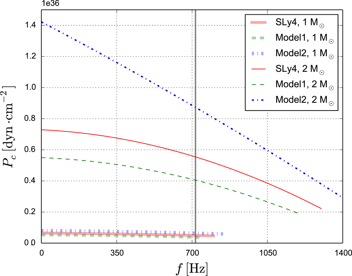
Fig. 8.

image

Central pressure vs. rotational frequency for the SLy4 model (solid red line), Model1 (dashed green line), and Model2 (dashed-dotted blue line) for 1 M and 2 M masses.

Current usage metrics show cumulative count of Article Views (full-text article views including HTML views, PDF and ePub downloads, according to the available data) and Abstracts Views on Vision4Press platform.

Data correspond to usage on the plateform after 2015. The current usage metrics is available 48-96 hours after online publication and is updated daily on week days.

Initial download of the metrics may take a while.