Free Access

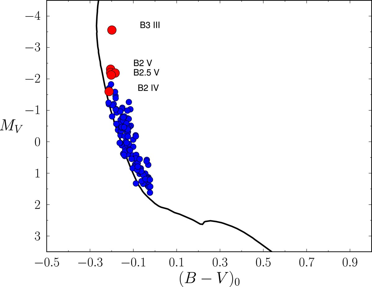
Fig. 7.

image

MV/(BV)0 diagram for likely members of NGC 3105. Stars observed spectroscopically are represented in red. Spectral types for the brightest stars are marked. Blue circles are the rest of the early members found photometrically. The black line shows, as a ZAMS, a PARSEC isochrone of 10 Ma computed at the cluster metallicity. The best-fitting yields a distance modulus of μ = 14.3 ± 0.2.

Current usage metrics show cumulative count of Article Views (full-text article views including HTML views, PDF and ePub downloads, according to the available data) and Abstracts Views on Vision4Press platform.

Data correspond to usage on the plateform after 2015. The current usage metrics is available 48-96 hours after online publication and is updated daily on week days.

Initial download of the metrics may take a while.