Free Access

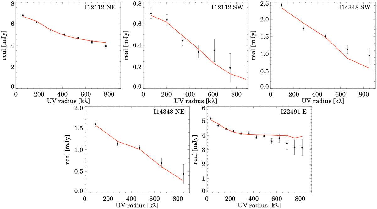
Fig. A.1

image

Real part of the 248 GHz continuum visibilities as function of the uv radius. The red line is the best-fit model discussed in Sect. 3.1.2 (see also Table 4).

Current usage metrics show cumulative count of Article Views (full-text article views including HTML views, PDF and ePub downloads, according to the available data) and Abstracts Views on Vision4Press platform.

Data correspond to usage on the plateform after 2015. The current usage metrics is available 48-96 hours after online publication and is updated daily on week days.

Initial download of the metrics may take a while.