Free Access

Fig. 5

image

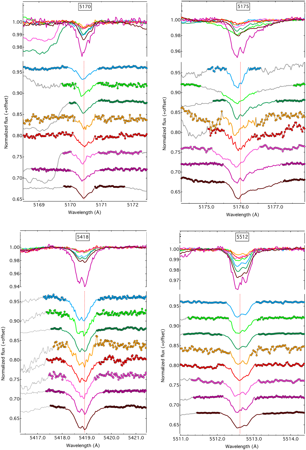
The 5170, 5175, 5418, and 5512 C2-DIBs recorded along seven single-cloud and one multi-cloud line-of-sight. Top in all four panels: overlaid C2 -DIB profiles at the same vertical scale for all stars. Bottom in all four panels: same C2 -DIB vertically displaced and depth-equalized profiles. The red dashed line shows the DIB location. See Fig. 1 for color coding.

Current usage metrics show cumulative count of Article Views (full-text article views including HTML views, PDF and ePub downloads, according to the available data) and Abstracts Views on Vision4Press platform.

Data correspond to usage on the plateform after 2015. The current usage metrics is available 48-96 hours after online publication and is updated daily on week days.

Initial download of the metrics may take a while.