Open Access

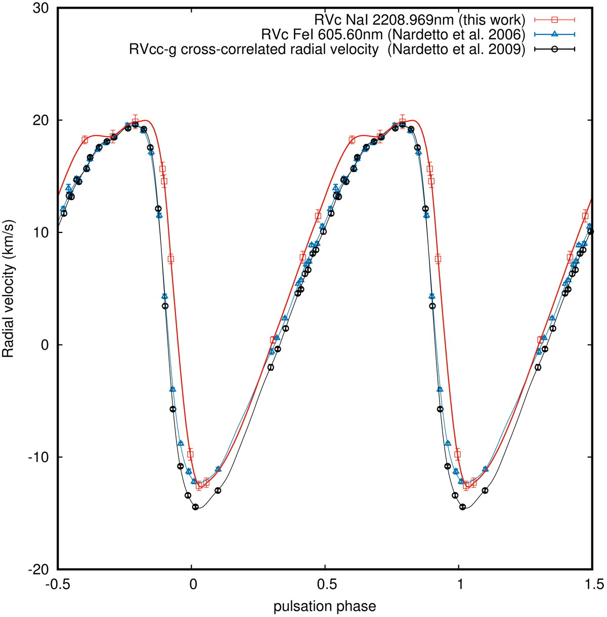
Fig. 3.

image

CRIRES infrared RV data (NaI 2208.969 nm line, open red squares), HARPS optical RV data (line 605.6 nm, blue open triangles and fitting blue curve), and RVcc−g data (black open circles and fitting black line).

Current usage metrics show cumulative count of Article Views (full-text article views including HTML views, PDF and ePub downloads, according to the available data) and Abstracts Views on Vision4Press platform.

Data correspond to usage on the plateform after 2015. The current usage metrics is available 48-96 hours after online publication and is updated daily on week days.

Initial download of the metrics may take a while.