Free Access

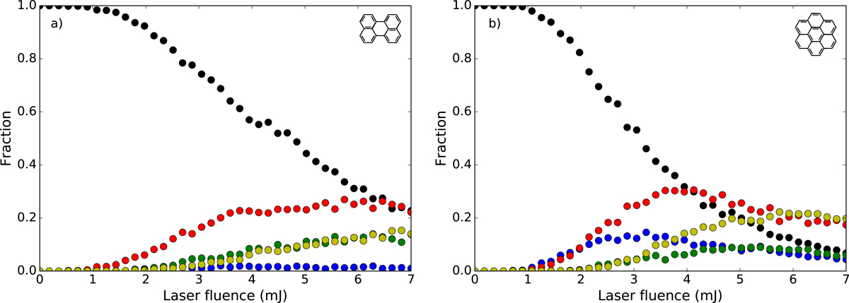
Fig. 10.

image

Results of Monte-Carlo simulations of the i-PoP experiments on the fragmentation of perylene (panel a) and coronene (panel b) after irradiation with three laser pulses at 656 nm. The colors follow the same scheme as those of the top panels of Fig. 9.

Current usage metrics show cumulative count of Article Views (full-text article views including HTML views, PDF and ePub downloads, according to the available data) and Abstracts Views on Vision4Press platform.

Data correspond to usage on the plateform after 2015. The current usage metrics is available 48-96 hours after online publication and is updated daily on week days.

Initial download of the metrics may take a while.