Free Access

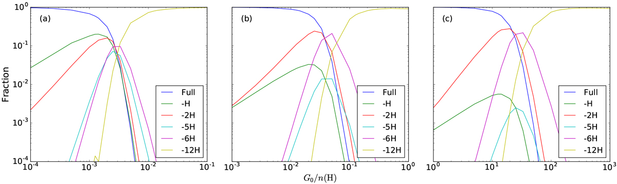
Fig. 4

image

Fragmentation pattern for the coronene (panel a), ovalene (panel b) and circumcoronene (panel c) cations. They are taken at 10, 100 and 1000 G0, respectively.–12H corresponds to the point in all molecules where aliphatic loss is no longer possible. Solo hydrogens are still left in the molecule at this stage in ovalene and circumcoronene (two and six, respectively).

Current usage metrics show cumulative count of Article Views (full-text article views including HTML views, PDF and ePub downloads, according to the available data) and Abstracts Views on Vision4Press platform.

Data correspond to usage on the plateform after 2015. The current usage metrics is available 48-96 hours after online publication and is updated daily on week days.

Initial download of the metrics may take a while.