Gaia Data Release 2
Free Access

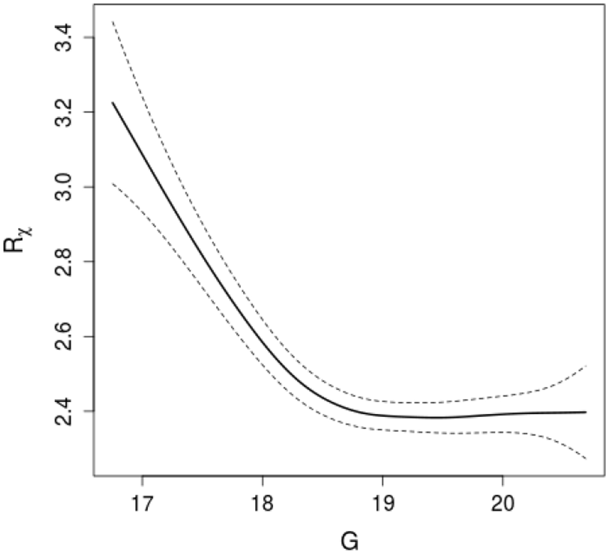
Fig. 23

image

χ2 test of the LQRF QSOs proper motions as a function of G magnitude. The residual Rχ should follow a χ2 with 2 degrees of freedom. The dotted lines correspond to the 1σ confidence interval. The correlation observed here is most likely due to the underestimation of the uncertainties as a function of magnitude.

Current usage metrics show cumulative count of Article Views (full-text article views including HTML views, PDF and ePub downloads, according to the available data) and Abstracts Views on Vision4Press platform.

Data correspond to usage on the plateform after 2015. The current usage metrics is available 48-96 hours after online publication and is updated daily on week days.

Initial download of the metrics may take a while.