Gaia Data Release 2
Free Access

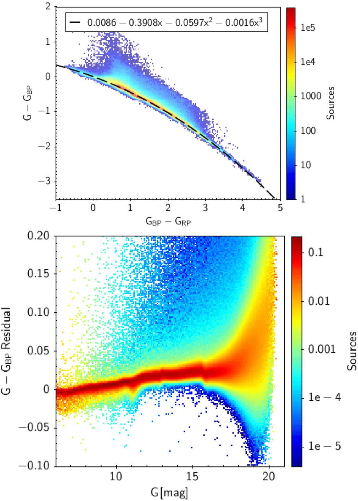
Fig. 31

image

Top panel: GGBP relation vs. GBPGRP. Bottom panel: 2D histogram of the GGBP residuals after subtracting the colour-dependent relation shown in the top panel. Only sources at high Galactic latitudes were used, and the histogram was reweighted to give the same weight to each magnitude interval.

Current usage metrics show cumulative count of Article Views (full-text article views including HTML views, PDF and ePub downloads, according to the available data) and Abstracts Views on Vision4Press platform.

Data correspond to usage on the plateform after 2015. The current usage metrics is available 48-96 hours after online publication and is updated daily on week days.

Initial download of the metrics may take a while.