Free Access

Fig. 2

image

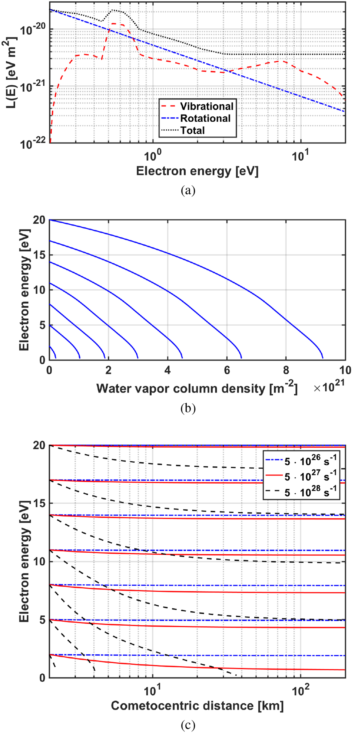
Energy loss for electrons in water vapor at 300 K for electron energies between 0.2 and 20 eV. Panel a: energy loss function. Panel b: electron energy as function of column density from the starting point for various initial energies. Panel c: electron energy as function of distance for electrons starting at the nucleus with various initial energies for three values of the production rate Q. Rotationalloss is approximated by Eq. (6). Vibrational loss is calculated from Eq. (11) of Cravens & Körösmezey (1986) with cross sections from Table 9 of Itikawa & Mason (2005). The vibrational loss reaches zeroat the lowest threshold energy of 0.198 eV.

Current usage metrics show cumulative count of Article Views (full-text article views including HTML views, PDF and ePub downloads, according to the available data) and Abstracts Views on Vision4Press platform.

Data correspond to usage on the plateform after 2015. The current usage metrics is available 48-96 hours after online publication and is updated daily on week days.

Initial download of the metrics may take a while.