Free Access

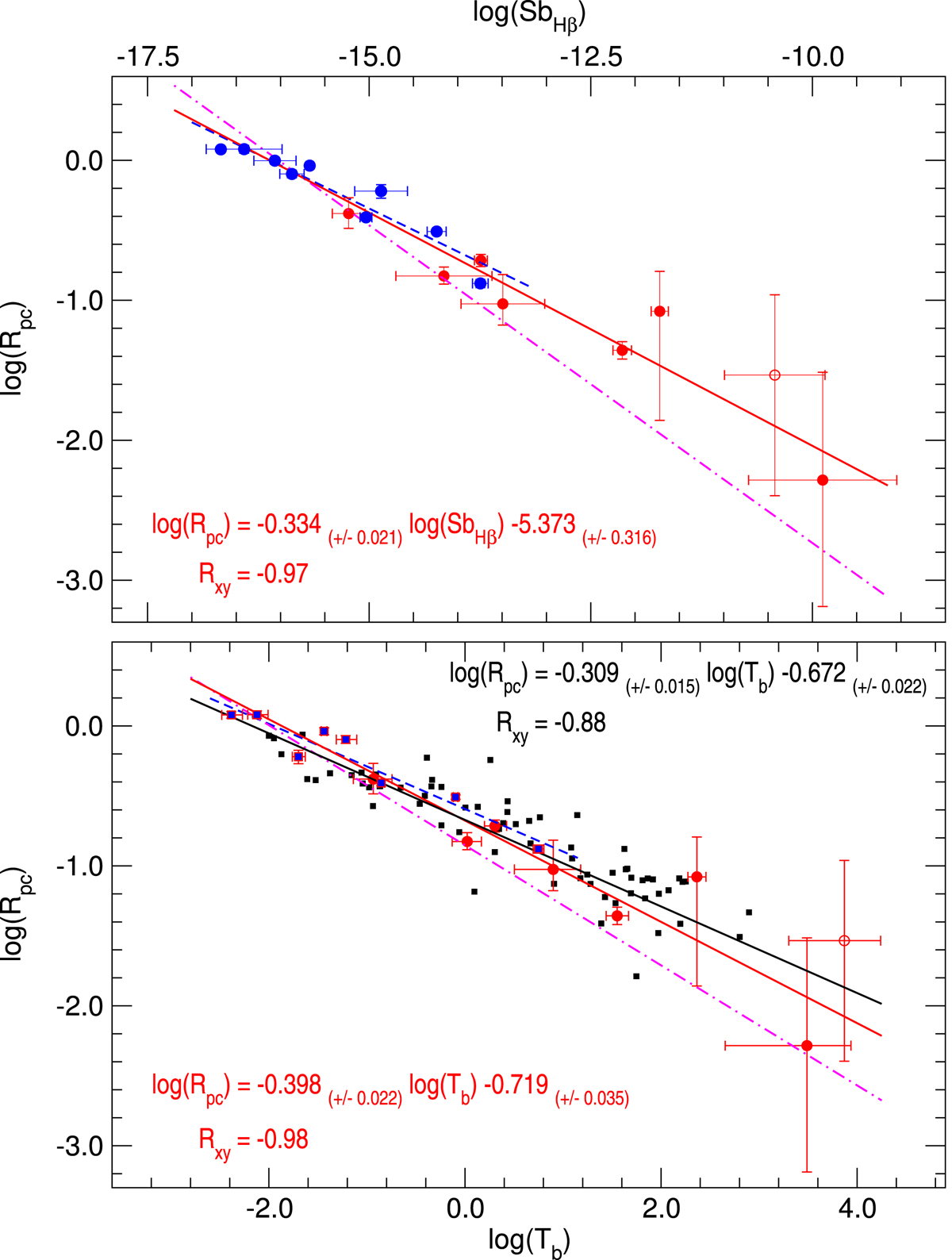
Fig. 4.

image

Comparison with the calibration of Stanghellini et al. (2017). The red symbols show targets with TGAS parallaxes, the blue symbols represent the USNO targets, and black symbols show our larger sample based on SH10. Red fit lines use the same targets as in the previous study, but using GDR2 distances. The black fit line uses the complete sample based on SH10. SaSt 2-12 is marked with an open symbol. The dash-dotted magenta lines show the fits by Stanghellini et al. (2017).

Current usage metrics show cumulative count of Article Views (full-text article views including HTML views, PDF and ePub downloads, according to the available data) and Abstracts Views on Vision4Press platform.

Data correspond to usage on the plateform after 2015. The current usage metrics is available 48-96 hours after online publication and is updated daily on week days.

Initial download of the metrics may take a while.