Free Access

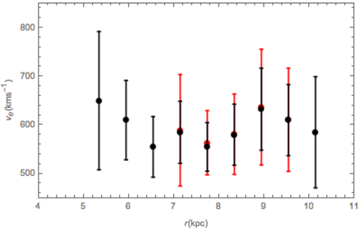
Fig. 2.

image

Escape speed at different radii r in the Milky Way obtained with the StarHorse code (black points), and McMillan distances (red points) and their error bars obtained using the procedure explained in Sect. 3.

Current usage metrics show cumulative count of Article Views (full-text article views including HTML views, PDF and ePub downloads, according to the available data) and Abstracts Views on Vision4Press platform.

Data correspond to usage on the plateform after 2015. The current usage metrics is available 48-96 hours after online publication and is updated daily on week days.

Initial download of the metrics may take a while.