Free Access

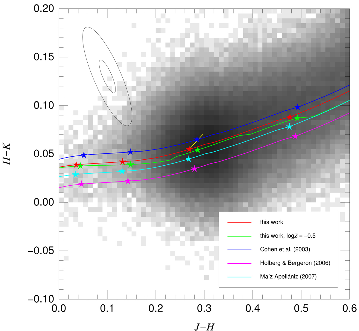
Fig. 2.

image

JH + HK density plot for the FGK dwarf sample described in the text. The intensity scale is logarithmic. The colored lines show the location of the Brott & Hauschildt (2005) dwarf models for four different sets of 2MASS ZPs assuming solar metallicity and for the ZPs in this work assuming log Z = −0.5 in solar units. The colored stars mark the location of the models with Teff = 8, 7, 6, and 5 kK (from left to right), respectively. The large ellipse shows the 68.5% contour for a distribution assuming σJ = σH = σK = 0.0015 mag and the small ellipse the equivalent for the ZP uncertainties in this work. The straight yellow line shows the displacement that corresponds to an extinction with A1 = 0.1 mag and = 2.0.

Current usage metrics show cumulative count of Article Views (full-text article views including HTML views, PDF and ePub downloads, according to the available data) and Abstracts Views on Vision4Press platform.

Data correspond to usage on the plateform after 2015. The current usage metrics is available 48-96 hours after online publication and is updated daily on week days.

Initial download of the metrics may take a while.