Free Access
Erratum
This article is an erratum for:
[https://doi.org/10.1051/0004-6361/201630020]


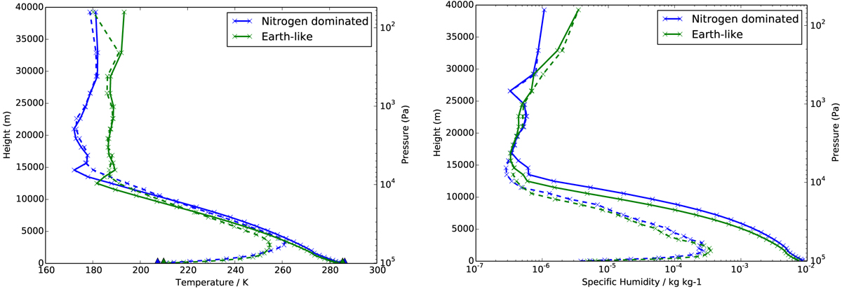
Fig. 5

image

Ten orbit mean profiles of temperature and water vapour (left and right panels, respectively) from the sub-stellar point on the dayside of the tidally locked planet (solid) and its antipode (dashed). Filled triangles show the surface temperature, and crosses indicate the position of the model levels.

Current usage metrics show cumulative count of Article Views (full-text article views including HTML views, PDF and ePub downloads, according to the available data) and Abstracts Views on Vision4Press platform.

Data correspond to usage on the plateform after 2015. The current usage metrics is available 48-96 hours after online publication and is updated daily on week days.

Initial download of the metrics may take a while.