Free Access

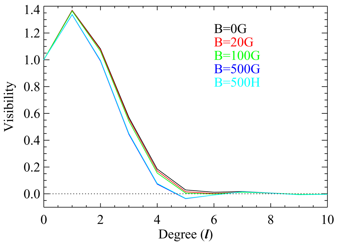
Fig. 7.

image

Similar to Fig. 5 for the different field strength cases in Beeck et al. (2013). The “500 H” case used the “500 G” simulation but with the field set to zero in the radiative transfer calculations. All cases are for the G2 star using the 6173 Å line, no rotation, i = 0° and m = 0 and the visibilities have been divided by the one for m = l = 0.

Current usage metrics show cumulative count of Article Views (full-text article views including HTML views, PDF and ePub downloads, according to the available data) and Abstracts Views on Vision4Press platform.

Data correspond to usage on the plateform after 2015. The current usage metrics is available 48-96 hours after online publication and is updated daily on week days.

Initial download of the metrics may take a while.