Free Access

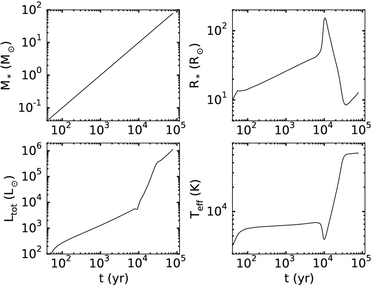
Fig. 4

image

Time evolution of the parameters for an accreting massive proto-star with an accretion rate of 10−3 M s−1 (Hosokawa & Omukai 2009). The different panels show the mass of the star M* (top left), the star radius R* (top right), the total luminosity Ltot (bottom left) and the effective temperature Teff (bottom right).

Current usage metrics show cumulative count of Article Views (full-text article views including HTML views, PDF and ePub downloads, according to the available data) and Abstracts Views on Vision4Press platform.

Data correspond to usage on the plateform after 2015. The current usage metrics is available 48-96 hours after online publication and is updated daily on week days.

Initial download of the metrics may take a while.