Free Access

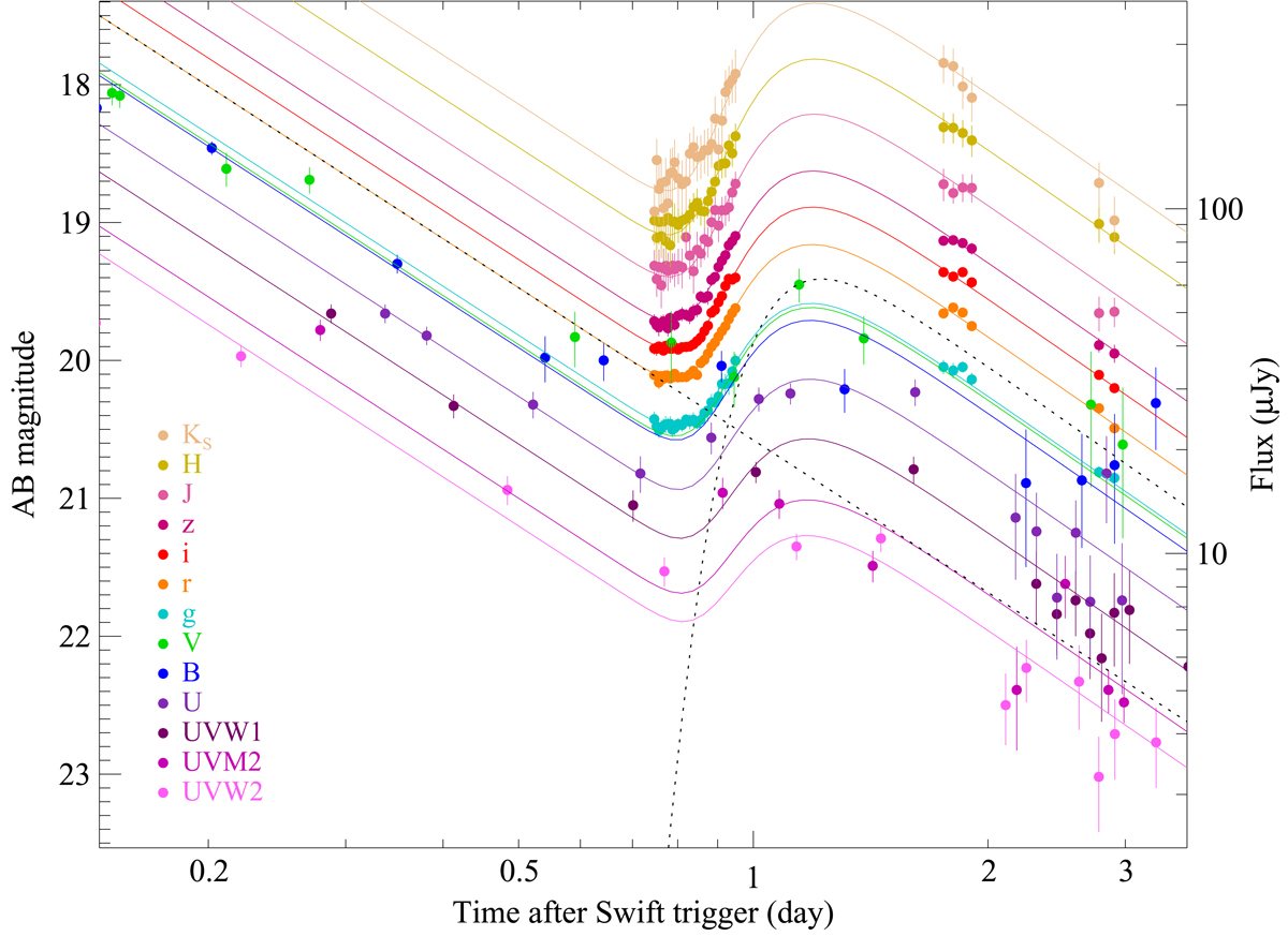
Fig. 9.

image

Decomposition of the optical/NIR afterglow of GRB 111209A across the rebrightening episode. UVOT data are the only data available before ≈0.8 days. With the beginning of GROND observations, a steeply rising second component becomes dominant (the two different components are shown as dotted lines for the r′ band), leading to a colour change in the afterglow. The fit ends before the first “step” in the late afterglow.

Current usage metrics show cumulative count of Article Views (full-text article views including HTML views, PDF and ePub downloads, according to the available data) and Abstracts Views on Vision4Press platform.

Data correspond to usage on the plateform after 2015. The current usage metrics is available 48-96 hours after online publication and is updated daily on week days.

Initial download of the metrics may take a while.