Open Access

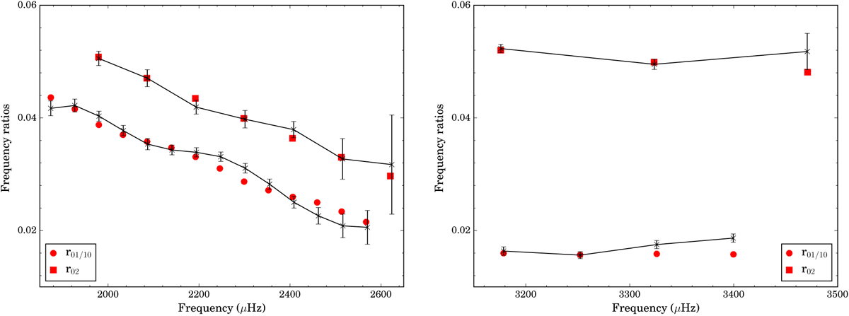
Fig. 5

image

Frequency separation ratios as a function of frequency for star A (left) and star Ba (right). The ratios r01∕10 (n) and r02 (n) derived from the reference model of each star are indicated by red circles and squares, respectively, while the observed ratios are shown as connected points with errors.

Current usage metrics show cumulative count of Article Views (full-text article views including HTML views, PDF and ePub downloads, according to the available data) and Abstracts Views on Vision4Press platform.

Data correspond to usage on the plateform after 2015. The current usage metrics is available 48-96 hours after online publication and is updated daily on week days.

Initial download of the metrics may take a while.