Free Access

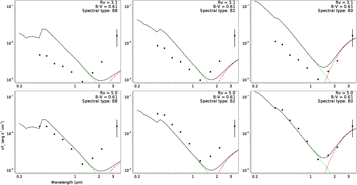
Fig. 5

image

Fit to the UBV RI and JHK photometry assuming different values for the stellar parameters and extinction. The green line indicates the stellar photospheric emission corrected for extinction. The red line is the dust thermal emission coming from the disk. The gray line is the sum of both contributions.

Current usage metrics show cumulative count of Article Views (full-text article views including HTML views, PDF and ePub downloads, according to the available data) and Abstracts Views on Vision4Press platform.

Data correspond to usage on the plateform after 2015. The current usage metrics is available 48-96 hours after online publication and is updated daily on week days.

Initial download of the metrics may take a while.