Free Access

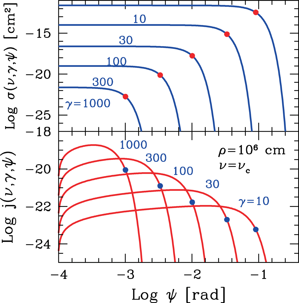
Fig. 1.

image

Top panel: curvature absorption cross section as a function of the emission angle ψ for different values of γ. We assume a curvature radius ρ = 106 cm and a frequency ν = νc = (3/2)ν0γ3. Bottom panel: single electron emissivity as a function of ψ for different values of γ, as labelled. The circles in both panels correspond to ψ = 1/γ.

Current usage metrics show cumulative count of Article Views (full-text article views including HTML views, PDF and ePub downloads, according to the available data) and Abstracts Views on Vision4Press platform.

Data correspond to usage on the plateform after 2015. The current usage metrics is available 48-96 hours after online publication and is updated daily on week days.

Initial download of the metrics may take a while.