Free Access

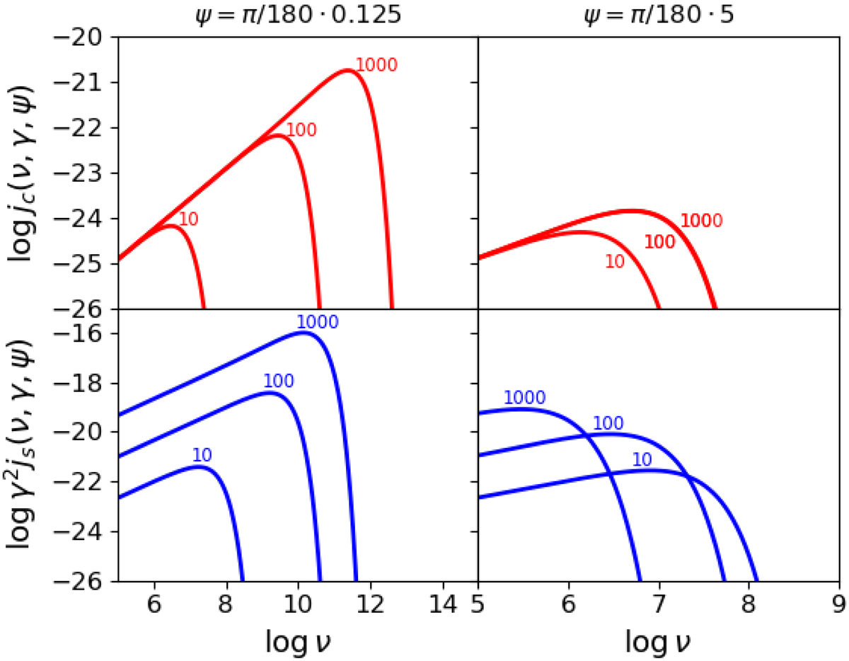
Fig. 2.

image

Top panels: curvature emissivity as a function of frequency ν for different γ (labelled) and for two values of the emission angle ψ, 0.125 (left column) and 5 (right column). We can see that at large ψ the emission at high frequencies is quenched, but that the emissivity at larger γ is always greater than the emissivity at lower γ. Bottom panels: the same, multiplied by the phase space factor γp, for the synchrotron case. Contrary to the curvature case, for large γ the emissivity can be smaller than the one at lower γ. A magnetic field B = 1 G was considered in calculations for comparison.

Current usage metrics show cumulative count of Article Views (full-text article views including HTML views, PDF and ePub downloads, according to the available data) and Abstracts Views on Vision4Press platform.

Data correspond to usage on the plateform after 2015. The current usage metrics is available 48-96 hours after online publication and is updated daily on week days.

Initial download of the metrics may take a while.