Free Access

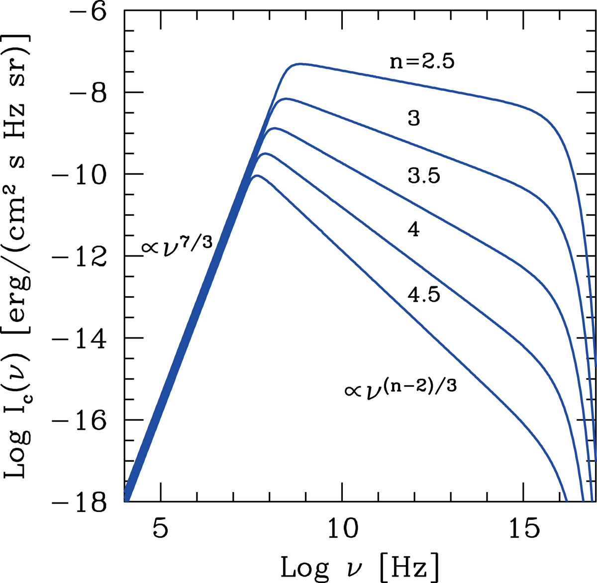
Fig. A.1.

image

Specific intensity of curvature radiation for different spectral indexes n of the electron distribution. The other parameters are ρ = 106 cm, R = 104 cm, N0 = 1015 cm−3, γmax = 2 × 104. Note the ν7/3 behaviour in the self–absorbed part.

Current usage metrics show cumulative count of Article Views (full-text article views including HTML views, PDF and ePub downloads, according to the available data) and Abstracts Views on Vision4Press platform.

Data correspond to usage on the plateform after 2015. The current usage metrics is available 48-96 hours after online publication and is updated daily on week days.

Initial download of the metrics may take a while.