Free Access

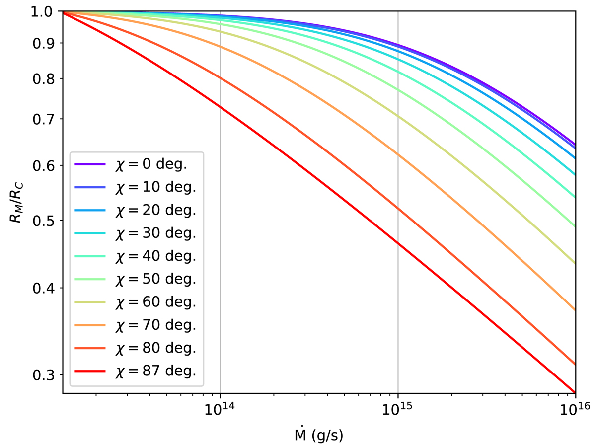
Fig. 2.

image

Magnetospheric radius in units of the corotation radius as a function of the mass accretion rate obtained for the case of an inclined rotator from Eq. (20). We assumed P spin = 1.69 ms, α = 0.4, η = 0.2, and γ = 1.0. Different values for the inclination angle are shown in different colors for clarity. The magnetic moment corresponding to each angle is obtained from Eq. (21) by assuming spin = 5.39 × 10−21 s s−1.

Current usage metrics show cumulative count of Article Views (full-text article views including HTML views, PDF and ePub downloads, according to the available data) and Abstracts Views on Vision4Press platform.

Data correspond to usage on the plateform after 2015. The current usage metrics is available 48-96 hours after online publication and is updated daily on week days.

Initial download of the metrics may take a while.