Free Access

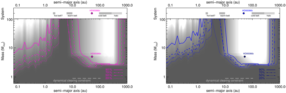
Fig. 13

image

HARPS and SPHERE combined detection probabilities given as a function of the planet mass and semi-major axis. Left: detection probabilities given for planet orbits with no constraints on the inclination, i.e., randomly oriented in space with uniform distributions in cos (i). Together with HD 95086 b, the dust distribution in the system coming from the combined analysis of the SED fitting and resolved PACS far-IR images is reported with the location of the three components: warm, cold, halo in addition to the possible hot one suggested at 2 au. Right: detection probabilities with constraints set to restrain solutions to planet orbital inclinations coplanar with the disk inclination of i = −30±3° and i = 150±3°.

Current usage metrics show cumulative count of Article Views (full-text article views including HTML views, PDF and ePub downloads, according to the available data) and Abstracts Views on Vision4Press platform.

Data correspond to usage on the plateform after 2015. The current usage metrics is available 48-96 hours after online publication and is updated daily on week days.

Initial download of the metrics may take a while.