Free Access

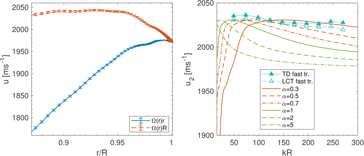
Fig. 14.

image

Left: linear rotational velocity Ω(r)r and rotation rate Ω(r)R vs. radial distance from solar center at solar equator obtained from a global-mode inversion (Larson & Schou 2018). Right: vertical average of rotation rate Ω(r)R between base of supergranule and solar surface vs. kR, for various α values (see text for definitions of u2 and α). Also shown is ux plus tracking speed (2034 m s−1) from supergranular power spectrum fits (TD and LCT fast tracking). We note that the y-axis range is different in both panels.

Current usage metrics show cumulative count of Article Views (full-text article views including HTML views, PDF and ePub downloads, according to the available data) and Abstracts Views on Vision4Press platform.

Data correspond to usage on the plateform after 2015. The current usage metrics is available 48-96 hours after online publication and is updated daily on week days.

Initial download of the metrics may take a while.