Free Access

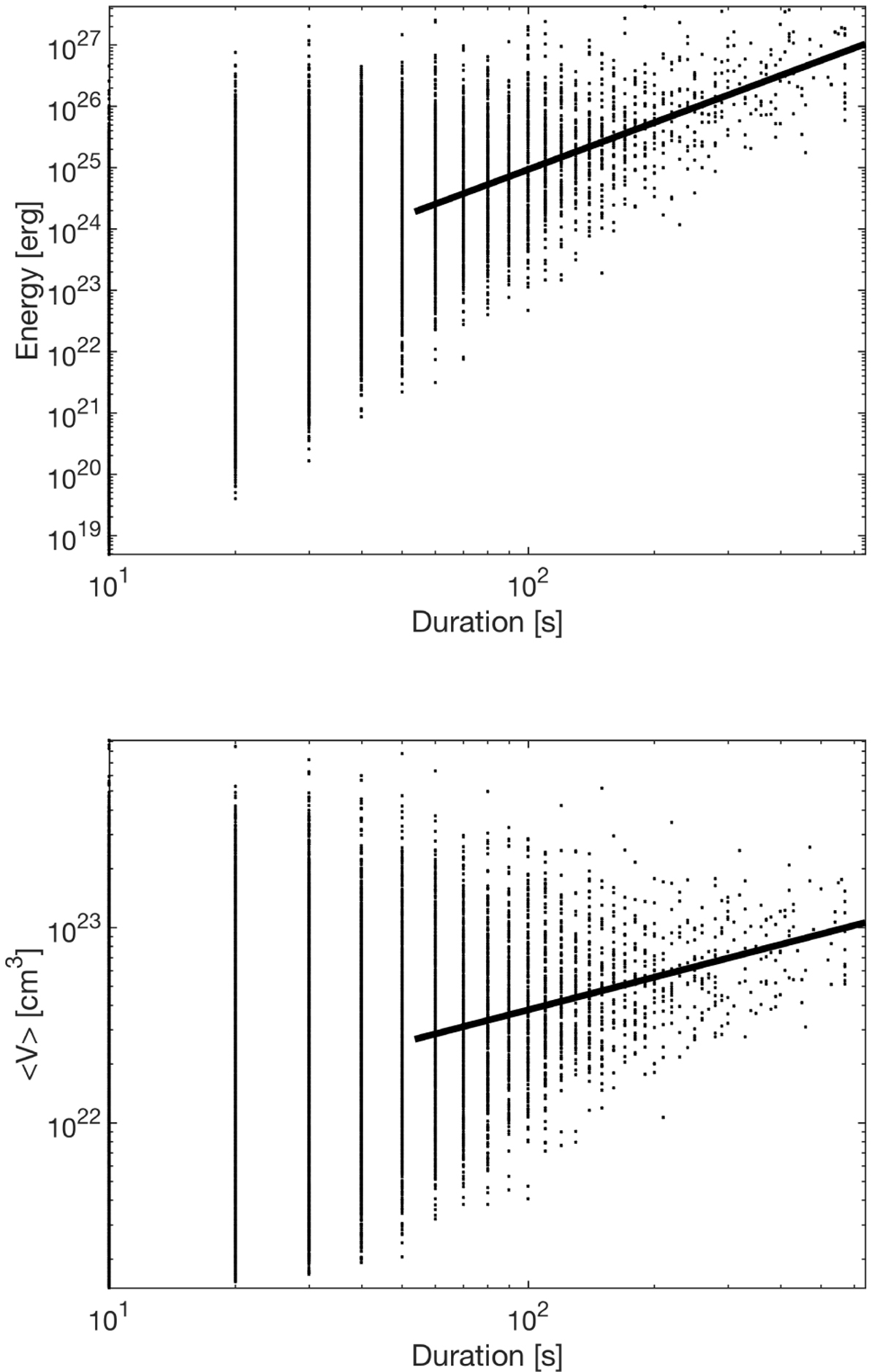
Fig. 10.

image

Top: Total energy vs. duration of all identified features. A power-law fit is attempted for the data points that have durations more than 50 s. Those data points correspond to 0.2% of the total number of events (3083 out of 145 306). The power-law index is α = 2.55 ± 0.05. Bottom: Same as in top panel for mean volume vs. duration. The power-law index is α = 0.56 ± 0.01.

Current usage metrics show cumulative count of Article Views (full-text article views including HTML views, PDF and ePub downloads, according to the available data) and Abstracts Views on Vision4Press platform.

Data correspond to usage on the plateform after 2015. The current usage metrics is available 48-96 hours after online publication and is updated daily on week days.

Initial download of the metrics may take a while.