Free Access

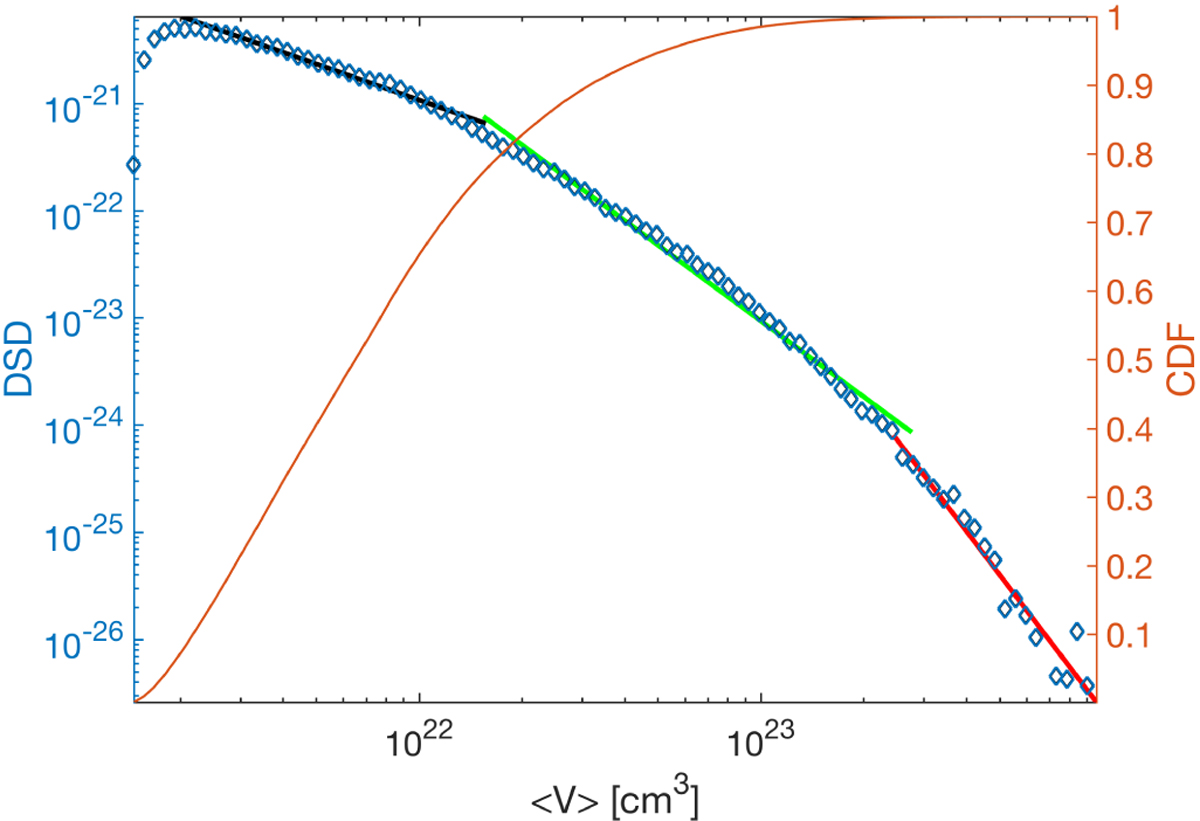
Fig. 8.

image

DSD together with three fitted power-law functions and CDF of the averaged volume. The DSD is represented with the left vertical axis and CDF with the right vertical axis.

Current usage metrics show cumulative count of Article Views (full-text article views including HTML views, PDF and ePub downloads, according to the available data) and Abstracts Views on Vision4Press platform.

Data correspond to usage on the plateform after 2015. The current usage metrics is available 48-96 hours after online publication and is updated daily on week days.

Initial download of the metrics may take a while.