Open Access

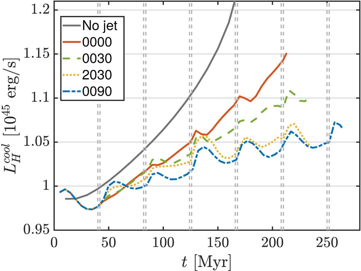
Fig. 10.

image

Halo cooling luminosity within the central 300 kpc. After the first common jet event, the non-reorienting jets of run 0000 can just delay the cooling catastrophe by 100–200 Myr, while the more isotropic the jet distribution, the more is reduced. All lines show regular “bumps” of increased luminosity associated with bow-shocks.

Current usage metrics show cumulative count of Article Views (full-text article views including HTML views, PDF and ePub downloads, according to the available data) and Abstracts Views on Vision4Press platform.

Data correspond to usage on the plateform after 2015. The current usage metrics is available 48-96 hours after online publication and is updated daily on week days.

Initial download of the metrics may take a while.