Open Access

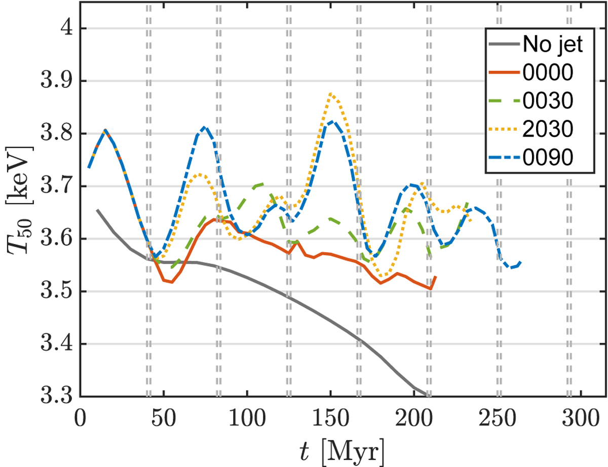
Fig. 13.

image

Evolution of the mass-averaged temperature of the ICM in the central 50 kpc region. The jets temper the temperature decline from the initial value of 3.65 keV. Oscillations correspond to the bow-shocks. The more isotropic the jets, the gentler the downward trend and more prominent the oscillations.

Current usage metrics show cumulative count of Article Views (full-text article views including HTML views, PDF and ePub downloads, according to the available data) and Abstracts Views on Vision4Press platform.

Data correspond to usage on the plateform after 2015. The current usage metrics is available 48-96 hours after online publication and is updated daily on week days.

Initial download of the metrics may take a while.