Free Access

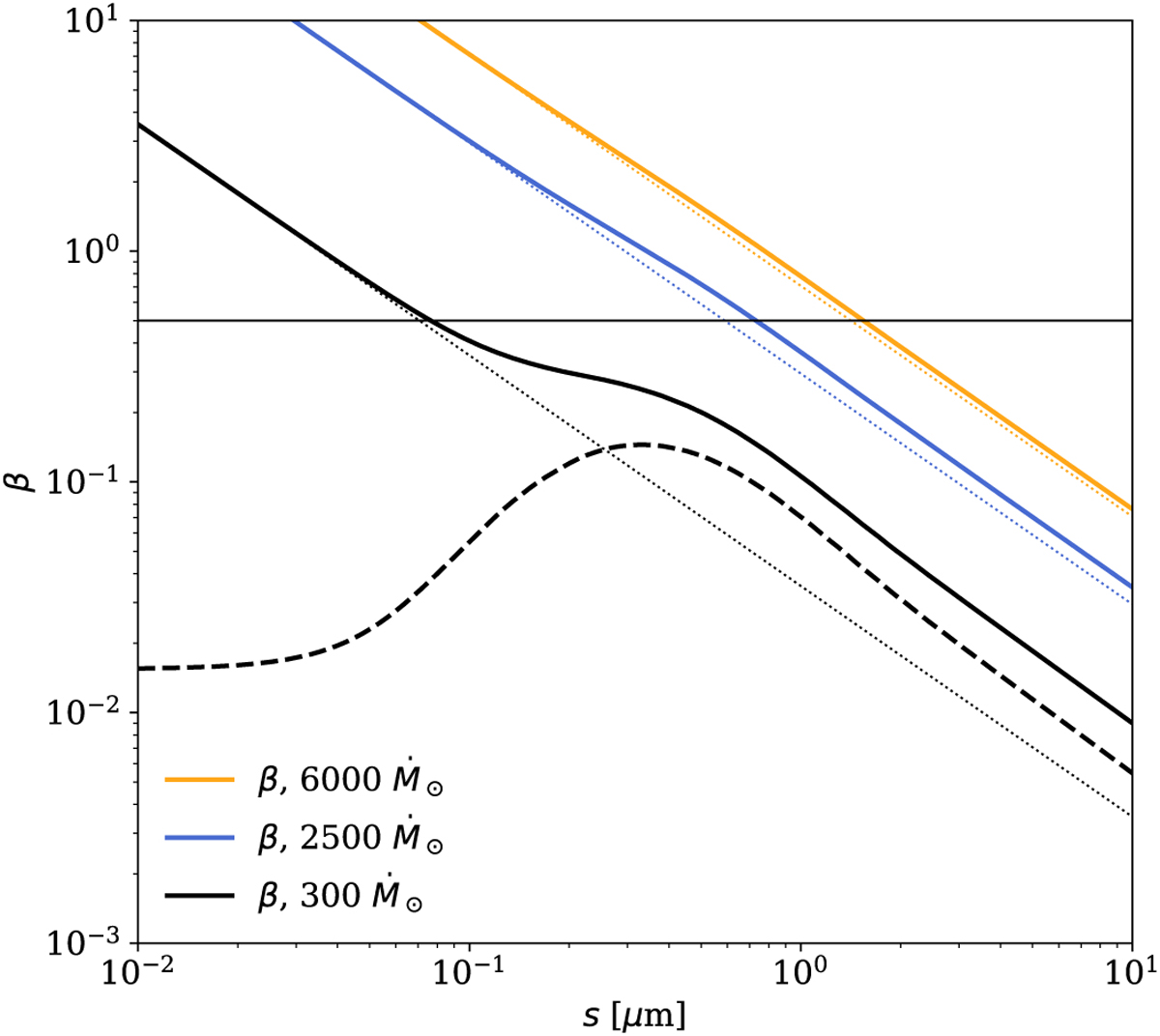
Fig. 9

image

β ratio (solid lines), including the effect of stellar winds (dotted lines) and radiation pressure (dashed line), as a function of the grain size, for several values of the stellar mass-loss rate.

Current usage metrics show cumulative count of Article Views (full-text article views including HTML views, PDF and ePub downloads, according to the available data) and Abstracts Views on Vision4Press platform.

Data correspond to usage on the plateform after 2015. The current usage metrics is available 48-96 hours after online publication and is updated daily on week days.

Initial download of the metrics may take a while.