Free Access

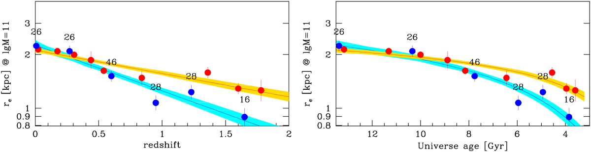
Fig. 8.

image

Halo effect on galaxy size and its dependence on look-back time. The figure shows the mean galaxy size at log M/M = 11 vs. redshift (left panel) or look-back time (right panel) for red-sequence early-type galaxies in the field (blue points) and in cluster (red points). The number above the blue points indicates the number of combined galaxies. The solid line and shading show the fitted relation and its 68% uncertainty (posterior highest density interval).

Current usage metrics show cumulative count of Article Views (full-text article views including HTML views, PDF and ePub downloads, according to the available data) and Abstracts Views on Vision4Press platform.

Data correspond to usage on the plateform after 2015. The current usage metrics is available 48-96 hours after online publication and is updated daily on week days.

Initial download of the metrics may take a while.