Open Access

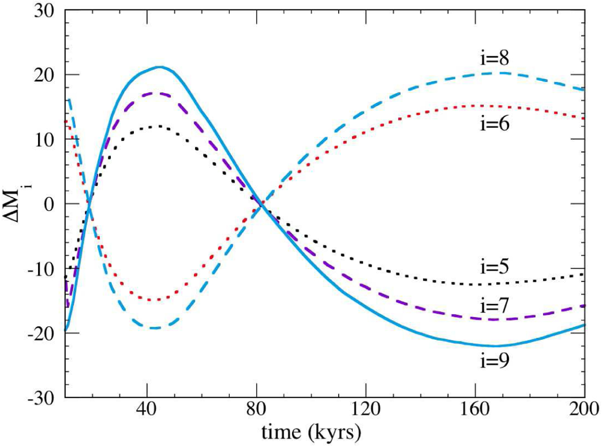
Fig. 5

image

Mass variation ΔMi (%) by region depending on time. The evolution shows oscillations typical of the VI The regions are numbered by increasing index, i, with respect to the polar angle θ (see the main text). The amplitude of ΔMi is approximately constant with time for each region. We notice that the amplitude of Δ Mi grows with i.

Current usage metrics show cumulative count of Article Views (full-text article views including HTML views, PDF and ePub downloads, according to the available data) and Abstracts Views on Vision4Press platform.

Data correspond to usage on the plateform after 2015. The current usage metrics is available 48-96 hours after online publication and is updated daily on week days.

Initial download of the metrics may take a while.