Free Access

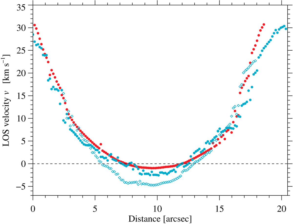
Fig. 12.

image

Doppler velocities inferred from the He I triplet’s red component. The Doppler velocities were calculated assuming single- or dual-flow components, whichever is more appropriate. The velocities are calculated along three arch filaments shown in Fig. 11. The colors of the contours and symbols (upper left corners of panels in Fig. 11) correspond to the contour lines in that figure.

Current usage metrics show cumulative count of Article Views (full-text article views including HTML views, PDF and ePub downloads, according to the available data) and Abstracts Views on Vision4Press platform.

Data correspond to usage on the plateform after 2015. The current usage metrics is available 48-96 hours after online publication and is updated daily on week days.

Initial download of the metrics may take a while.