Open Access

Fig. 2.

image

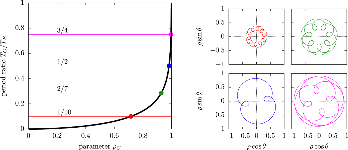
Left: ratio of periods TC/TE as a function of the parameter ρC, computed from (Eq. (29)). Some examples of rational values, corresponding to periodic orbits, are plotted as horizontal lines. Right: same periodic orbits plotted in the physical plane. The corresponding parameter ρC was obtained by a Newton method applied to (Eq. (29)).

Current usage metrics show cumulative count of Article Views (full-text article views including HTML views, PDF and ePub downloads, according to the available data) and Abstracts Views on Vision4Press platform.

Data correspond to usage on the plateform after 2015. The current usage metrics is available 48-96 hours after online publication and is updated daily on week days.

Initial download of the metrics may take a while.