Open Access

Fig. 5.

image

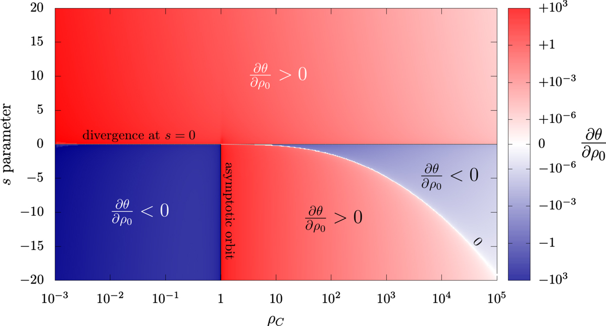
Value of ∂θ/∂ρ0 in the (ρC, s) plane for infinite D. Particles come from s = ∞, they reach their minimum radii at s = 0, at which the last term of (Eq. (41)) diverges, and they go on with negative s. The white line shows the level curve ∂θ/∂ρ0 = 0, corresponding to the caustic (overdensity of particles). It is formed by the set of T1 trajectories (ρC > 1). See Fig. 6 for its shape in the physical plane.

Current usage metrics show cumulative count of Article Views (full-text article views including HTML views, PDF and ePub downloads, according to the available data) and Abstracts Views on Vision4Press platform.

Data correspond to usage on the plateform after 2015. The current usage metrics is available 48-96 hours after online publication and is updated daily on week days.

Initial download of the metrics may take a while.