Free Access

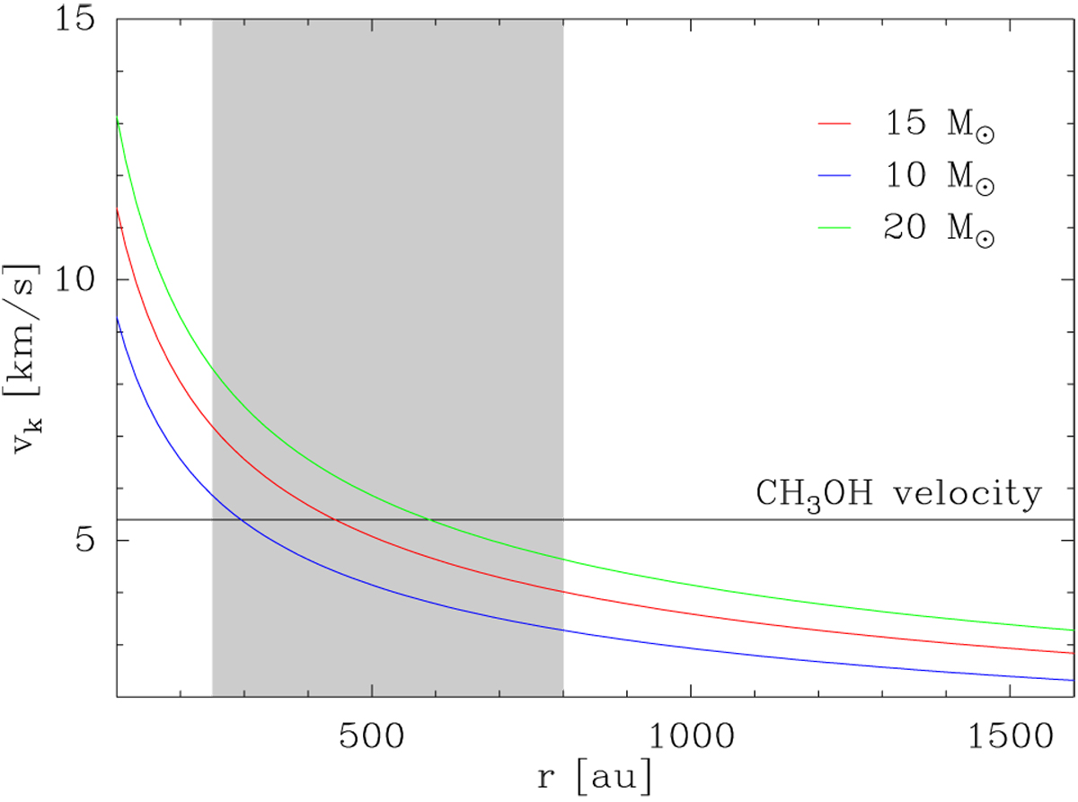
Fig. 14

image

Keplerian velocity as a function of radius, r, from the central object for 10, 15, and 20 M. The projection corrected velocity determined from the 334.42 GHz CH3OH vt = 1 line is marked as a grey horizontal line. The grey shaded area corresponds to the projected distance range for the position of the CH3OH vt = 1 spots.

Current usage metrics show cumulative count of Article Views (full-text article views including HTML views, PDF and ePub downloads, according to the available data) and Abstracts Views on Vision4Press platform.

Data correspond to usage on the plateform after 2015. The current usage metrics is available 48-96 hours after online publication and is updated daily on week days.

Initial download of the metrics may take a while.